TopPage
取組課題
議会報告
ボランティア団体
条例
行政サービス
プロフィール
facebook
Donco新聞
役場組織
町議会HP
町HP
補助助成
議会だより
他たより
気になるNews
総務文教News
生活福祉News
産業建設News
左以外News
28年度予算
平成27年度 2015年
R2,H31年度
H30年度
H29年度
H28年度
H27年度
070-2155-3047
toshi@snow.co.jp
第3回 湯沢教育フェスティバル
平成27年10月31日 (土)
コミュニティ・スク-ルにおいてオール湯沢で子どもを育てて行く。
湯沢学園の、発表会もあり、学園生が生き生き発表していました。
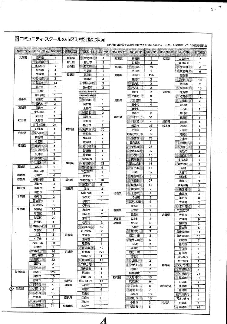
コミュニティ・スク-ルについて
教育委員会事務室の移転
2016/04/24
広報ゆざわ 抜粋
子育て支援情報 ぐんぐん
広報ゆざわ 抜粋
教育相談窓口
旧学校施設等の
使用者決まりました
広報ゆざわ 抜粋
奨学金と就学援助制度
湯沢町総合計画
パブリックコメント
27年度湯沢学園
中学校卒業式
広報ゆざわ 抜粋
子育て支援情報
総合子育て
支援センター視察
給食センター視察(給食試食)
越後湯沢全国動画展
高機能消防指令センター
公共道路等除雪費を
経営事項審査の
「土木一式」への計上に
関する請願
湯沢町総合計画
後期基本計画
のパブリックコメントの状況
湯沢町が南魚沼市に委託する
事務の変更
湯沢町
総合計画後期基本計画
パブリックコメント
湯沢学園 学習リーフレット
1年~4年
5年~7年
8年~9年
総務文教常任委員会
H28No1
湯沢高原契約更新の方針
マイナンバー制度の
現況について
認定こども園の準備状況
学力向上の取り組み
生涯学習推進プラン
FISアルペンスキー
ワールドカップ
2016湯沢苗場大会
新一年生入学
おめでとう大会
中里、古野一、古野二
の中学生使用の通学路
危険箇所調査確認作業
湯沢町
総合計画後期基本計画
通学路交通安全プログラム
都市再生整備計画事後評価
原案の公表及び意見の募集
総合計画後期基本計画(案)
第2生涯学習推進プラン(案)
パブリックコメント募集
奨学金貸与、就職援助制度
全員協議会
ワールドカップ準備
定住自立圏の協定
南魚地域産業活性化
地方創生総合戦略
湯沢町生涯学習推進プラン
新潟県議会 12月定例会
可決した議案
ひとり親家庭等
U・-ターン促進支援事業
高等学校の
適正規模と方針は
塩沢商工高校に新設の
土木系学科について
湯沢町PTA連合協議会
研究集会開催
子育て支援情報
新潟県勤労者生活
安全資金貸付金制度
湯沢町自治会の認定基準等
に関する要項 マンション内に
自治会を設立できる
国家戦略特別区域法に基づく
民泊営業の規制緩和に
関する陳情
湯沢町町制施行
60周年記念式典
湯沢学園竣工式
平成27年度湯沢学園
生徒海外派遣事業報告
第3回 湯沢教育
フェスティバル
ワールドカップ関連発議
本会議
総合文教施設整備事業と諸施策
湯沢認定こども園の通園体制他
湯沢町ユタ州ソルトレイク郡
マグナ姉妹都市
協定調印記念植樹式
定住自立圏構想について