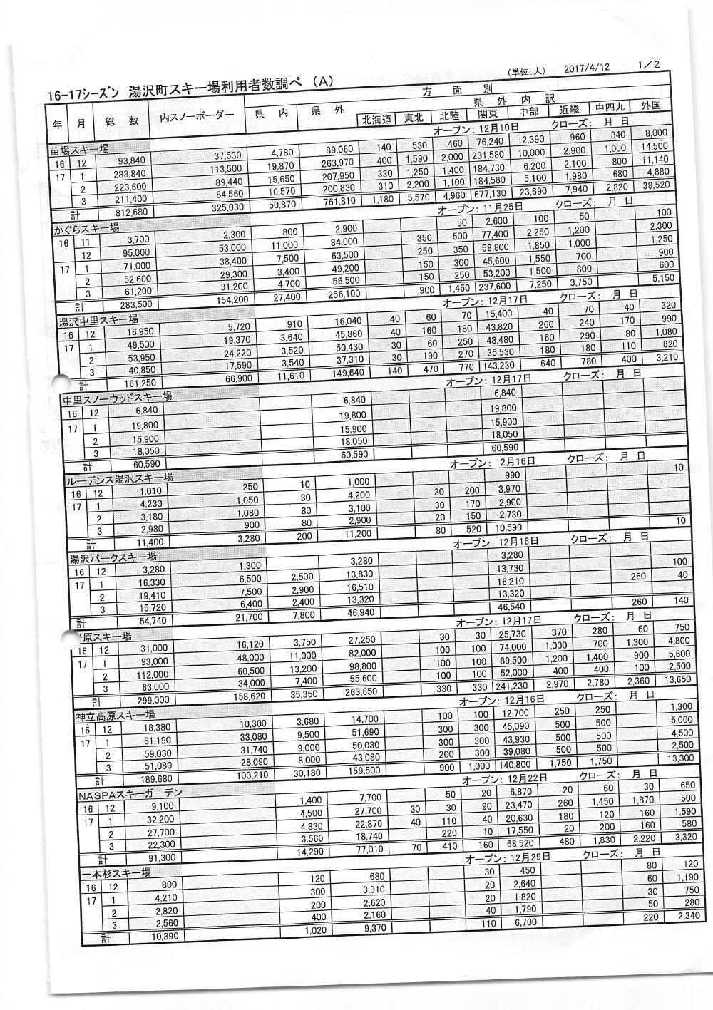
産業建設常任委員会 H29年 第03回  2017/04/18

主な議題は冬季間スキー場入り込み状況報告

湯沢町内における民泊営業の登録状況など、...

またその後に三俣地区の新下水道処理施設を視察し、三俣脇本陣 池田家さんも見学。











民泊








新ゴミ処理施設 PDF



議事録有りは 
湯沢町議会について
湯沢町議会
 申し合わせ事項
 平成28年12月14日
2018/04/06 
 議員全員協議会04回
2018/03/22 
 議員全員協議会03回
 2018/03/09 
 産業建設常任委員会03回
2018/03/07 
 生活福祉常任委員会02回
2018/03/07 
 総務文教常任委員会02回
2018/03/06 
 一般会計補正予算
 審査特別委員会
 2018/02/20 
 産業建設常任委員会02回
2018/02/15 
 産業建設常任委員会01回
2018/02/06 
 総務文教常任委員会01回
2018/02/02 
 議員全員協議会02回
2018/01/30 
 議員全員協議会01回
2018/01/25 
 生活福祉常任委員会01回
2017/11/27 
 総務文教常任委員会11回
2017/11/16 
 産業建設常任委員会11回
2017/11/14 
 総務文教常任委員会10回
 2017/10/25 
 生活福祉常任委員会08回
2017/10/16 
 総務文教常任委員会09回
2017/09/29 
 産業建設常任委員会10回
2017/09/21 
 議員全員協議会10回
2017/09/14 
 議員全員協議会09回  
2017/09/05 
 産業建設常任委員会09回
2017/09/05 
 生活福祉常任委員会07回
2017/09/05 
 総務文教常任委員会08回
2017/09/05 
 一般会計補正予算
 審査特別委員会
20170905 
湯沢町議会09月定例会
2017/08/28 
 生活福祉常任委員会06回
2017/08/28 
 産業建設常任委員会08回
2017/08/21 
 総務文教常任委員会07回
2017/07/31 
 議員全員協議会08回
2017/07/18 
 生活福祉常任委員会05回
2017/06/20 
 議員全員協議会07回
2017/06/13 
 産業建設常任委員会07回
2017/06/13 
 生活福祉常任委員会04回
2017/06/13 
 総務文教常任委員会06回
2017/06/13  
 一般会計補正予算
 審査特別委員会
 
20170613 
湯沢町議会06月定例会
2017/05/19 
埼玉県松伏町
 産業建設常任委員会06回
2017/05/19 
群馬県館林市
 産業建設常任委員会06回
2017/05/12 
 産業建設常任委員会05回
2017/05/12 
 総務文教常任委員会05回
2017/05/10 
 総務文教常任委員会04回
2017/05/10 
 生活福祉常任委員会03回
2017/04/27 
 産業建設常任委員会04回
2017/04/18 
 産業建設常任委員会03回